Contoh Soal Matematika Peminatan Kelas 10 Semester 2 Tentang Vektor

Contoh soal matematika peminatan kelas 10 semester 2 tentang kita contoh soal matematika peminatan kelas 10 semester 2 tentang rindu contoh soal matematika peminatan kelas 10 semester 2 tentang covid contoh soal matematika peminatan kelas 10 semester 2 tentang islam contoh soal matematika peminatan kelas 10 semester 2 final exam contoh soal vektor matematika peminatan kelas 10 contoh soal matematika peminatan kelas 11 semester 1 contoh soal matematika peminatan kelas 10 semester 2 contoh soal psikotes dan jawabannya

Contoh Soal Matematika Peminatan Kelas 10 Semester 2 Tentang Vektor. Sebelum kita masuk ke soal dan pembahasan vektor, kita . Untuk lebih memahami masalah vektor, coba anda lakukan .

15 Contoh Soal Vektor Matematika Kelas 10 Sma Jawabannya
15 Contoh Soal Vektor Matematika Kelas 10 Sma Jawabannya from www.kursiguru.com
Pembahasan 7 soal latihan mandiri vektor bagian 6, meliputi sub materi: Jika sudut antara kedua vektor adalah 120° maka |p̄ − q̄|2 sama dengan…. Karena vektor matematika diajarkan melalui diagram kartesian (terutama vektor 2 dimensi), maka bentuk vektor dapat berupa vektor baris ataupun vektor kolom .

Jika sudut antara kedua vektor adalah 120° maka |p̄ − q̄|2 sama dengan….

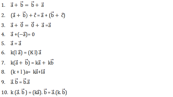
Kumpulan contoh soal matematika peminatan kelas 10 semester 2 dan jawaban, ada soal materi vektor, simak bahan latihan pat mtk 2022 pdf. Pembahasan 7 soal latihan mandiri vektor bagian 6, meliputi sub materi: Gambar 1.6.(1) contoh pemanfaatn vektor dalam teknik sipil dan gambar 1.6.(2) dalam bidang navigasi. Jika 𝐴𝐹 ⃗ dan =.

https://nichols.my.id/how-to-repair-an-trident.html

.

Contoh Soal Matematika Peminatan Kelas 10 Semester 2 Tentang Vektor. There are any Contoh Soal Matematika Peminatan Kelas 10 Semester 2 Tentang Vektor in here.